合作客戶/
拜耳公司 |
同濟大學 |
聯合大學 |
美國保潔 |
美國強生 |
瑞士羅氏 |
相關新聞Info
-
> 土壤裂隙發育過程中氣—液界面張力因素
> 高鐵/汽車用T700級碳纖維環氧樹脂的黏度表面張力、微觀浸潤性研究
> PH、結構、電荷與溫度對膠原生物表面活性劑溶液性質的影響機制(二)
> 水體粘性是什么?
> 不同水解時間的Protamex酶對玉米谷蛋白表面張力、泡沫、理化性質等的影響(一)
> LB膜分析儀證明SP-B在肺表面活性物質三維結構形成中的關鍵作用
> 界面張力作用下開發MAPbBr3鈣鈦礦單晶制備方法
> 基于微納米氣泡的井口注氣裝置可改變油水界面張力,提高原油的采收率
> 流平劑作用原理、種類、應用性能及與表面張力的關系
> NaOL、HZ組合捕收劑對鋰輝石礦物浮選效果、表面張力影響(一)
推薦新聞Info
誰的表面張力更大?
來源:李傳亮 瀏覽 1791 次 發布時間:2022-06-20
從前發過一個帖子“好大的泡泡“,帖了兩張吹的比人還大的肥皂泡泡供大家娛樂消遣,并說了大泡泡的表面張力也會很大的意思。
有網友提出了不同看法,說大泡泡的表面張力不是很大,應該很小,表面張力小才容易起泡,增加表面積做功才最少。
他們的說法似乎也有道理,一個泡泡圖片引發了大家的思考,是一件很好的事情。
我是這樣分析泡泡的受力情況的,圖中的泡泡不是人吹的,而是風吹的,泡泡的內外都是空氣,但里面的壓力肯定比外面的壓力高,二者的差值為泡泡的附加壓力,也就是人們常說的毛管壓力。由于風是固定的,因此附加壓力的數值也是一樣的。在相同的附加壓力下,是大泡泡的表面張力大,還是小泡泡的表面張力大呢?
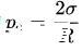
由于附加壓力
,曲率半徑越大,表面張力[公式]也就越大,因此,只有表面張力較大的液體才能吹成更大的泡泡。若表面張力較小,還沒等吹大就破了。表面張力與固體材料的應力強度極為相似,都是破裂時的力學性質。
我沒有深入研究過表面化學,一時也找不到更好的解釋,請大家討論一下吧,看誰能給出更好的答案,期待中。。。





