合作客戶/
拜耳公司 |
同濟大學 |
聯合大學 |
美國保潔 |
美國強生 |
瑞士羅氏 |
相關新聞Info
推薦新聞Info
牛血清白蛋白對表面的影響離子液體型雙子表面活性劑的性質——結果和討論
來源:上海謂載 瀏覽 2686 次 發布時間:2021-11-24
3. 結果和討論
通過測定[C10-4-C10im]Br2在三種不同溫度下的表面張力(γ),研究了BSA對[C10-4-C10im]Br2表面性質的影響。 測量在[C10-4-C10im]Br2濃度范圍0.56至6.57 mM內進行。 圖1顯示了在不同溫度下不存在和存在不同濃度BSA時[C10-4-C10im]Br2的表面張力與對數濃度的曲線圖。 如圖1所示,在所有情況下,隨著[C10-4-C10im]Br2濃度的增加,溶液的表面張力逐漸降低,直至達到一個平臺區域,在該平臺區域上方,幾乎獲得一個恒定值。 根據表面張力與對數濃度曲線的交點確定不同溫度下的CMC值,并在表1中列出。 從圖表中獲得的CMC值幾乎等于Ao等人獲得的值。[63]表面張力曲線顯示[C10-4-C10im]Br2的CMC隨著溫度以及BSA濃度的增加而增加(圖2)。 結果與文獻數據(Ao等人[63]和耿等人[65])一致。 一般認為,離子型兩親分子的CMC首先在低溫下降低,然后在高溫下升高[66],而非離子表面活性劑的CMC則呈現相反的趨勢。[67]在某些情況下,離子型系統的CMC也會隨著溫度的升高而持續升高。[68,69]
圖1. 不同溫度下[C10-4-C10im]Br2的CMC隨BSA濃度的變化。
圖2. 在含有(a)0(b)5,(c)20和(d)50μM BSA的水溶液中,表面張力(γ)與log[C10-4-C10im]Br2的關系。
觀察到[C10-4-C10im]Br2的表面張力(γ)隨著溫度和BSA濃度的升高而降低。 [C10-4-C10im]Br2的這種行為是由于溫度升高破壞了表面活性劑的分子間氫鍵,從而增加了親水基團的水合作用,從而降低了表面張力并延遲了膠束化過程[70], 溫度升高會改變疏水基團周圍的水合層,從而通過減緩表面活性劑分子在空氣/水界面的膠束化來加速表面活性劑分子的吸附。[71]
隨著BSA濃度的增加,CMC值的增加是由于膠束化所需的[C10-4-C10im]Br2單體的數量減少,因為它們與BSA形成復合物,而不是形成膠束。 這個數字隨著BSA濃度的增加而不斷增加,因為與BSA結合需要更多的分子。 BSA-[C10-4-C10im]Br2體系的表面張力值低于相應的[C10-4-C10im]Br2體系,這是由于BSA-[C10-4-C10im]Br2絡合物具有較高的表面活性。[72]如果我們必須單獨分析每種情況,即在固定的BSA濃度下, 觀察到CMC值隨溫度升高而增加,這表明在CMC附近,[C10-4-C10im]Br2與BSA的結合取決于疏水相互作用。[65,73]
3.1. 界面參數
3.1.1. 最大表面過量濃度(Γmax)
Γmax說明了表面活性劑分子在空氣-水界面上的累積,可以使用吉布吸附方程計算[73]
式中,γ是表面張力,Γmax是飽和吸附量(單位:mol/m2),n是[C10-4-C10im]Br2的每個分子的粒子數,其值取3,因為它是二聚表面活性劑,[74]R是氣體常數(8.314 Jmol-1K-1),T是絕對溫度(單位:開爾文),C是表面活性劑濃度,以及 (δγ/δlogC)項表示預膠束區的γ-對數C曲線斜率。表1列出了所有系統中[C10-4-C10im]Br2的Γmax計算值。
表1.[C10-4-C10im]Br2在不同溫度下存在不同濃度BSA時的界面參數。
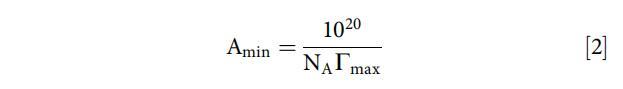
3.1.2.每個分子的最小面積(Amin)
空氣-水界面處的Amin可使用關系式[73]進行計算
式中,NA為阿伏伽德羅數。表1總結了Amin值。結果表明,隨著溫度和BSA濃度的升高,Γmax減小,而Amin增大。然而,在存在20μM BSA的情況下,觀察到相反的趨勢,這可能是由于與BSA形成兩種不同類型的復合物 隨著溫度的升高,[C10-4-C10im]Br2主要通過靜電和疏水作用與BSA結合,從而增加了分子的寬度和面積,減少了分子的表面過剩量。[75]
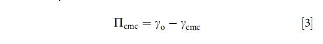
3.1.3.CMC下的表面壓力(πCMC)
計算∏cmc是為了確定[C10-4-C10im]Br2在不同溫度和BSA濃度下的有效性,使用以下關系式。[76]它進一步用于計算各種系統中[C10-4-C10im]Br2的熱力學參數。
式中,γo和γcmc是溶劑系統的表面張力和溶液在cmc值下的表面張力。如表1所示,[C10-4-C10im]Br2的∏cmc值隨BSA的溫度和濃度的增加而增加。這表明溫度和BSA都增加了[C10-4-C10im]的有效性 然而,如果我們單獨分析每種情況,[C10-4-C10im]Br2系統的有效性隨著溫度的升高而增加,而BSA-[C10-4-C10im]Br2系統的有效性隨著溫度的升高而降低。
表面自由能(Gmin)定義為自由能的變化,伴隨著溶液組分從本體相到表面相的轉變,并通過以下方程式計算。[77]
Gs min的值與形成的表面或表面活性的穩定性成反比。在所有實驗溫度下,所有系統獲得的Gmin值都較低(表1)。Gmin的較低值表明將形成熱力學上更穩定的表面。這表明穩定的表面形成和分子間的良好相互作用 [C10-4-C10im]Br2和BSA。[78]
3.2.熱力學參數
計算了在不同濃度和溫度下[C10-4-C10im]Br2在不存在和存在BSA的情況下的膠束化和吸附熱力學參數,以確定溫度和BSA濃度的升高是否有利于膠束化(本體相濃度)或吸附 [C10-4-C10im]Br2的(界面濃度)。使用以下關系式計算各種熱力學參數。[79]
式中,XCMC是CMC的摩爾分數單位值。 由此獲得的熱力學參數值如膠束化標準自由能(DG0m)和吸附標準自由能(DG0 ads)、膠束化焓(DH0m)和吸附焓(DH0 ads)以及膠束化熵(DS0m)和吸附熵(DS0 ads)如表2所示。 觀察到,與其他表面參數一樣; 熱力學參數也隨溫度和BSA濃度的變化而變化。 在我們的例子中,膠束化和吸附過程的DG0都是負值。 與膠束化相比,吸附自由能值隨溫度和BSA濃度的變化更大(圖3)。 觀察到DG0-ads比DG0-m更負,并且這種負性隨著BSA濃度的增加而不斷增加,這表明[C10-4-C10im]的吸附 空氣/水界面上的Br2分子比其在體相中的膠束化更為突出,添加BSA通過與[C10-4-C10im]Br2形成一個在性質上更具表面活性的絡合物來增強這種吸附過程(如我們之前的結果所述)。 此外,隨著溫度的升高,DG0 ads的負性增加超過DG0 m,這表明熱攪拌有利于吸附而不是膠束化。 這種效應是由于高溫下疏水鏈的水化分解而產生的,而水化分解反過來會在[C10-4-C10im]Br2分子之間產生排斥作用。[80]
圖3. 在不同溫度下,DG0 m和DG0 ads隨BSA濃度的變化。
表2. [C10-4-C10im]Br2在不同溫度下吸附和膠束化的熱力學參數與BSA濃度的關系。

所有系統的膠束化焓均為負值,而[C10-4-C10im]Br2系統的吸附焓為正值,BSA-[C10-4-C10im]Br2系統的吸附焓為負值。 在所有情況下,膠束化焓和吸附焓均隨溫度的升高而降低。 這表明,膠束化過程在所有情況下均為放熱過程,而吸附過程僅在[C10-4-C10im]Br2系統中為吸熱過程,而在BSA-[C10-4-C10im]Br2系統中為放熱過程。 溫度對兩個過程的焓的影響相似。 膠束化和吸附的熵也以類似的方式變化。 膠束化熵的正值對DG0 m的負值負責,這表明膠束化過程在所有情況下都是熵驅動的。 [C10-4-C10im]Br2系統的吸附熵正值和BSA-[C10-4-C10im]Br2系統的吸附熵負值表明,[C10-4-C10im]Br2系統的吸附過程是熵驅動的,而BSA-[C10-4-C10im]Br2系統的吸附過程是焓驅動的。
牛血清白蛋白對表面的影響離子液體型雙子表面活性劑的性質——摘要、介紹
牛血清白蛋白對表面的影響離子液體型雙子表面活性劑的性質——材料和方法
牛血清白蛋白對表面的影響離子液體型雙子表面活性劑的性質——結果和討論
牛血清白蛋白對表面的影響離子液體型雙子表面活性劑的性質——結論、致謝!





